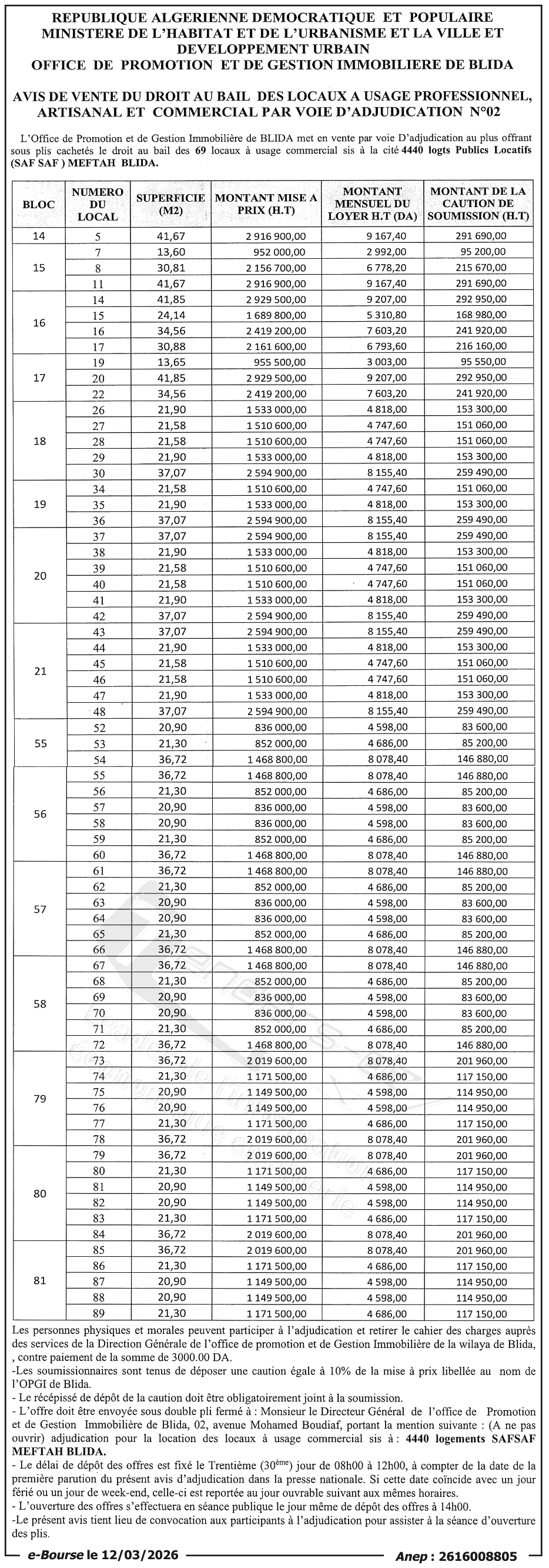
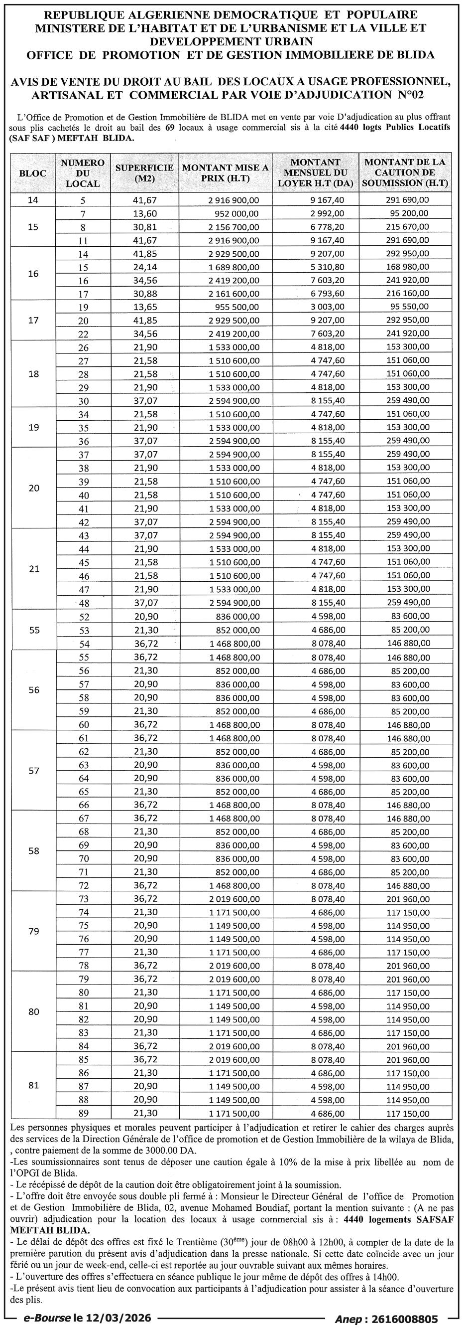
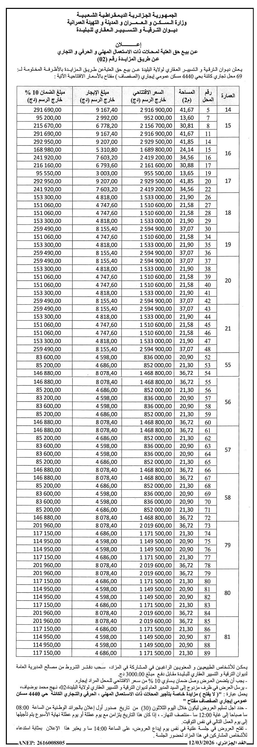
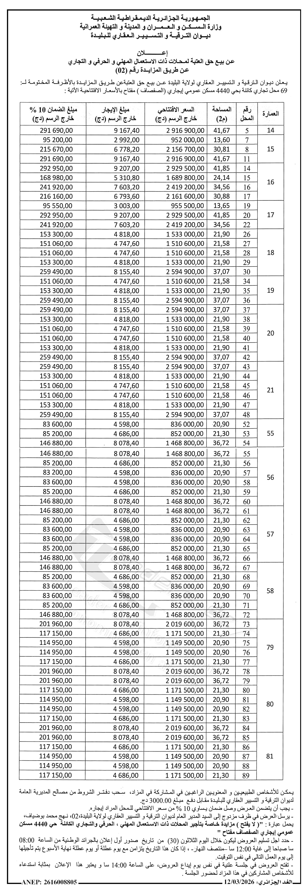
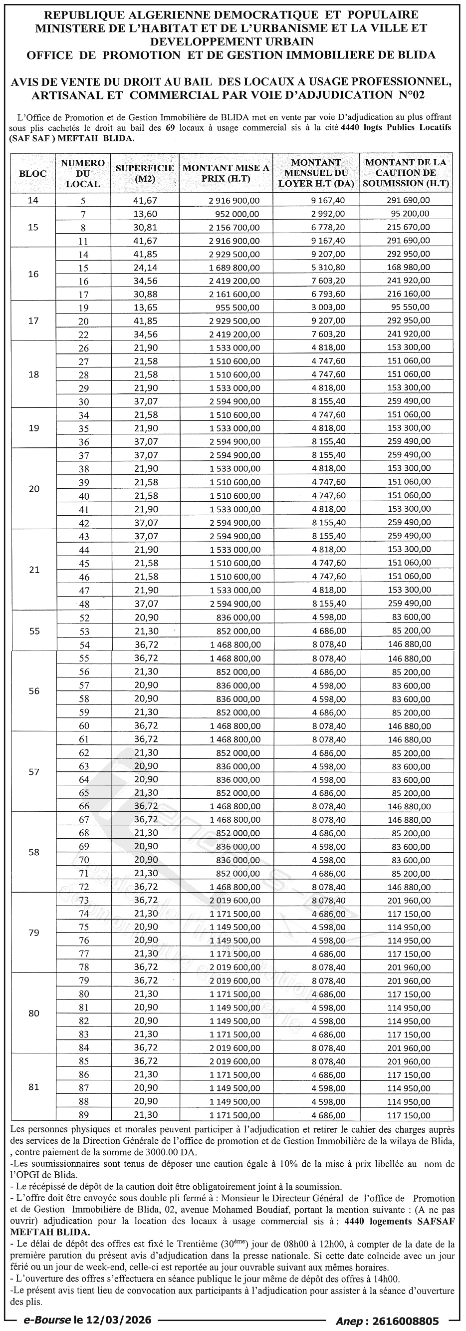
Vente 69 local commercial hay 4440
AVIS D'ADJUDICATION
- Wilaya :Blida
- Date de Publication: 12/03/2026
- Date d'échéance (*): 10/04/2026
- Journal De Parution: الغد الجزائري
- Ref :2521024
- ANEP:2616008805
Vente 69 local commercial hay 4440
OPGI WILAYA DE BLIDA (OFFICE DE PROMOTION ET DE GESTION IMMOBILIERE)
- 2, boulevard Mohamed Boudiaf , Blida.
- 025410351 /
Montant de Retrait du Cahier des Charges :


