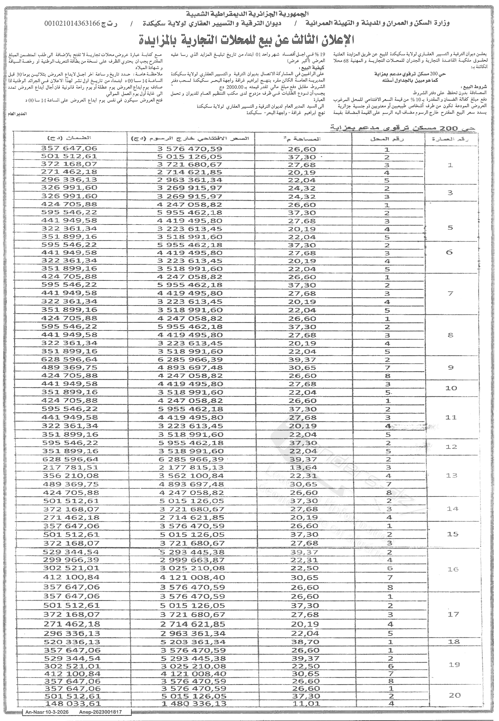
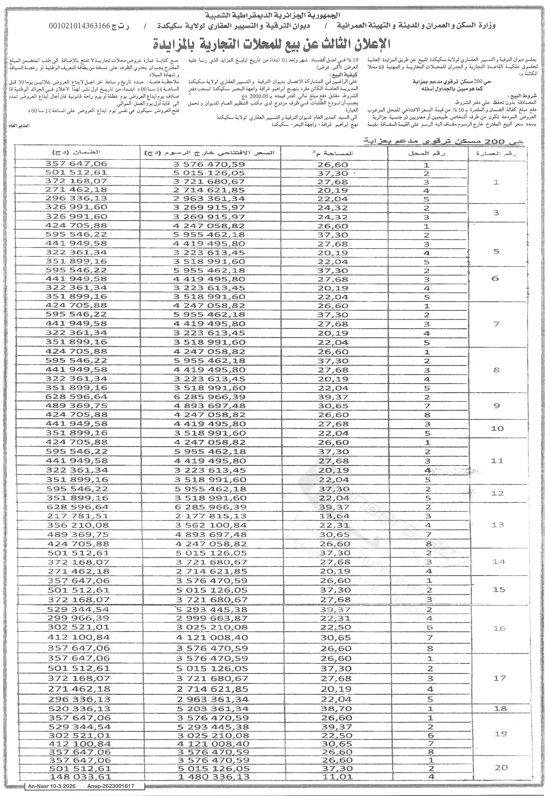
Vente des locaux comerciaux
AVIS D'ADJUDICATION
- Wilaya :Skikda
- Date de Publication: 09/03/2026
- Date d'échéance (*): 07/04/2026
- Journal De Parution: Horizons
- Ref :2520052
- ANEP:2623001817
Vente des locaux comerciaux
OPGI DE LA WILAYA DE SKIKDA (OFFICE DE PROMOTION ET DE GESTION IMMOBILIERE)
- Boulevard Ibrahim Gharafa Mohamed Front de mer Skikda
Montant de Retrait du Cahier des Charges : Non Montionnée


